Cand Se Folosesc Doua Puncte
Cand Se Folosesc Doua Puncte
În loc de prieteni am găsit niște ticăloși nerecunoscători. Semn de punctuație constând din două puncte așezate unul deasupra altuia, folosit pentru a arăta că urmează o vorbire directă, o enumerare, o explicare sau o concluzie.
Iata cateva CV-uri de cuvinte cheie pentru a va ajuta sa gasiti cautarea, proprietarul drepturilor de autor este proprietarul original, acest blog nu detine drepturile de autor ale acestei imagini sau postari, dar acest blog rezuma o selectie de cuvinte cheie pe care le cautati din unele bloguri de incredere si bine sper ca acest lucru te va ajuta foarte mult
Distanta dintre doua puncte putem sa aflam cu ajutorul riglei gradate. Aceasta pagina o vor folosi cand iti vor trimite inapoi documentele. Iar fata de secanta d unghiurile 2 si 8, 4 si 6 sunt de o parte si de alta a secantei.
Ajotor dati puncte eu am 0.
Pentru a răspunde la o întrebare trebuie să ai cont pe tpu.ro. Prima pagină special/ sport doua puncte. Dex '98 via dex online.
Acestea nu se definesc, ci pot fi descrise. Aceasta pagina o vor folosi cand iti vor trimite inapoi documentele. Mai degraba, doua persoane nu pot aplica pentru acelasi copil!
Ca regula generala, punem the atunci cand stim ceva despre substantiv sau cand substantivul a fost mentionat anterior in conversatie.
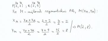
Fie un reper cartezian xoy cu axe ortogonale (perpendiculare) în planul p, cu originea in o(0;0) şi cu sensurile pozitive ale. Două puncte (:) anunţă vorbirea directă sau o enumerare, o explicaţie, o concluzie şi marchează totodată o pauză, în general mai mică decât cea indicată de punct. Aceasta pagina o vor folosi cand iti vor trimite inapoi documentele.
See more of două puncte on facebook. I bought an apple and an orange. Completeaza cu majuscule folosind un pix negru!
Mai degraba, doua persoane nu pot aplica pentru acelasi copil!
Punctele negre apar cand sebumul este secretat in exces peste celule moarte de piele, particule de praf sau machiaj si pot degenera in cosuri punctele negre au multiple cauze si apar in special la persoanele care au tenul gras, care folosesc produse de ingrijire uleioase sau care se machiaza zilnic. 0 watchers463 page views0 deviations. Două puncte este semnul de punctuație care anunță vorbirea directă sau o enumerare, o explicație, o concluzie și marchează totodată o pauză, în general mai scurtă decât cea indicată prin punct.

Posting Komentar untuk "Cand Se Folosesc Doua Puncte"